Celulares e Telefones

Top 10 iPhones com Melhores Câmeras para Comprar em 2025

Você já pensou em como a câmera do seu celular define a qualidade das suas memórias? Escolher o iPhone certo transforma completamente suas fotos e vídeos. A Apple sempre entrega tecnologia de primeira, mas cada modelo tem suas particularidades.

Se você busca registrar momentos do dia a dia, criar conteúdo para redes sociais ou simplesmente ter as melhores imagens, é fundamental entender as diferenças.

Analisei os modelos mais recentes para te ajudar a decidir qual aparelho tem a câmera ideal para o seu estilo de vida.

Resumo das Melhores Opções

Para quem busca o melhor em fotografia e vídeo, estas são as principais escolhas em 2025:

  • iPhone 16 Pro Max: O modelo mais completo, com o sistema de câmeras mais avançado .
  • iPhone 16 Pro: Desempenho de câmera quase idêntico ao Pro Max, mas em um formato mais compacto .
  • iPhone 15 Pro Max: Excelente custo-benefício, com recursos de ponta e preço mais acessível que os lançamentos .
  • iPhone 14 Pro Max: Ótima opção para quem valoriza a câmera frontal e busca um preço mais baixo .

Melhores iPhones 2025

Modelos(Ver Preços)
⬇️
(Ver Preços) ⬇️Destaque Principal
iPhone 16 Pro MaxAmazonMercado Livretela de 6,9″, câmeras avançadas, maior bateria (até 29h)
iPhone 15 ProAmazonMercado LivrePotente, completo, ótimo desempenho
iPhone 13AmazonMercado LivreMelhor custo-benefício, ótimo desempenho
iPhone 16 PlusAmazonMercado LivreRecente, tela grande, bateria de longa duração
iPhone 14 ProAmazonMercado LivrePro “antigo” ainda muito relevante
iPhone 15AmazonMercado LivreÓtimo para o dia a dia, desempenho equilibrado
iPhone 16eAmazonMercado LivreMelhor iPhone de entrada, compacto e eficiente
iPhone 14AmazonMercado LivreModelo base equilibrado, bom custo-benefício

Escolha seu iPhone

Qual o Melhor iPhone pra Você?

Pontos Chave da Análise

  • Resolução de 48 MP: Os modelos Pro contam com um sensor principal de 48 megapixels, garantindo fotos com detalhes incríveis .
  • Gravação de Vídeo Profissional: A linha 16 Pro grava em 4K a 120 quadros por segundo, ideal para slow motion de alta qualidade .
  • Zoom Óptico Potente: O zoom óptico chega a 5x nos modelos Pro Max, permitindo capturar objetos distantes sem perda de qualidade .
  • Inteligência Artificial: O processamento de imagem usa IA para ajustar cores, foco e exposição automaticamente, resultando em fotos mais naturais .

Qual Perfil de Usuário se Beneficia de uma Câmera Top?

Se você trabalha com criação de conteúdo, adora fotografia mobile ou simplesmente não abre mão de registrar seus momentos com a máxima qualidade, um iPhone com câmera avançada é para você.

Ele é perfeito para quem busca praticidade, pois entrega resultados profissionais sem a necessidade de equipamentos extras .

Usuários que curtem registrar viagens, festas e o dia a dia também encontram nesses aparelhos um grande aliado.

Categorias de iPhones com Câmeras de Destaque

  • Linha Pro Max: Foco total em quem deseja o máximo de desempenho em fotografia e vídeo, com os maiores sensores e mais recursos exclusivos .
  • Linha Pro: Oferece quase todos os benefícios da versão Pro Max, mas em um corpo mais compacto e fácil de manusear .
  • Modelos Padrão: Apresentam câmeras de excelente qualidade para o uso diário, mas sem os recursos profissionais avançados das linhas Pro .

Quanto Custa um iPhone com Câmera de Ponta?

Os valores variam conforme o modelo e a capacidade de armazenamento. Em 2025, os preços médios no Brasil são:

ModeloFaixa de Preço (Brasil)
iPhone 16 Pro MaxR$ 11.999 a R$ 15.499
iPhone 16 ProR$ 10.499 a R$ 12.799
iPhone 15 Pro MaxR$ 7.449 a R$ 12.899
iPhone 14 Pro MaxR$ 7.500 a R$ 9.000

A Marca Dominante em Fotografia Mobile

A Apple se consolida como a principal referência no segmento. A integração entre hardware e software dos iPhones garante uma experiência de câmera consistente e de alta qualidade, colocando a marca no topo das preferências de consumidores e especialistas .

Como Chegamos a Esta Classificação

Nossa análise se baseou em especificações técnicas, testes práticos, opiniões de usuários em fóruns brasileiros e comparativos de sites especializados .

Avaliamos critérios como resolução, desempenho em baixa luz, qualidade do zoom, gravação de vídeo e recursos de software para criar um ranking completo e imparcial.

Análise Detalhada dos Modelos

Aqui está o detalhamento dos iPhones com as melhores câmeras, incluindo suas especificações, pontos positivos e negativos.

iPhone 16 Pro Max

O iPhone 16 Pro Max é a escolha definitiva para quem busca o melhor sistema de câmeras em um smartphone.

Usuários elogiam a nitidez das fotos, a qualidade dos vídeos em 4K e o desempenho do modo noturno .

Os pontos negativos mais citados são o preço elevado e a ausência do carregador na caixa .

Ficha Técnica

EspecificaçãoDetalhe
Tela6.9″ Super Retina XDR OLED
Câmera Principal48MP (wide) + 48MP (ultra-wide) + 12MP (telefoto)
Zoom Óptico5x
Gravação de Vídeo4K até 120fps
Câmera Frontal12MP
ProcessadorApple A18 Pro
PreçoR$ 11.999 a R$ 15.499
EstruturaTitânio, IP68
Recursos EspeciaisHDR avançado, modo noturno, ProRAW, ProRes

Prós e Contras

PrósContras
✓ Melhor sistema de câmeras do mercado✗ Preço muito elevado
✓ Gravação em 4K a 120fps✗ Carregador vendido separadamente
✓ Zoom óptico de 5x sem perda de qualidade✗ Dependência do ecossistema Apple
✓ Modo noturno e HDR avançados✗ iOS menos personalizável
✓ Estrutura em titânio resistente✗ Sem expansão de memória
✓ Processamento de imagem com IA

iPhone 16 Pro

O iPhone 16 Pro oferece o mesmo conjunto de câmeras do seu irmão maior em um formato mais prático. Usuários destacam a portabilidade sem abrir mão da qualidade de imagem .

As críticas se concentram no preço, ainda alto, e na bateria com menor autonomia em comparação ao Pro Max.

Ficha Técnica

EspecificaçãoDetalhe
Tela6.3″ Super Retina XDR OLED
Câmera Principal48MP (wide) + 48MP (ultra-wide) + 12MP (telefoto)
Zoom Óptico5x
Gravação de Vídeo4K até 120fps
Câmera Frontal12MP
ProcessadorApple A18 Pro
PreçoR$ 10.499 a R$ 12.799
EstruturaTitânio, IP68
Recursos EspeciaisHDR avançado, modo noturno, ProRAW, ProRes

Prós e Contras

PrósContras
✓ Mesmo sistema de câmeras do Pro Max✗ Preço ainda muito alto
✓ Formato mais compacto e portável✗ Bateria menor que o Pro Max
✓ Gravação de vídeo profissional✗ Acessórios vendidos separadamente
✓ Qualidade de foto excepcional✗ Sem expansão de memória
✓ Estrutura em titânio

iPhone 15 Pro Max

Mesmo com a chegada da nova geração, o iPhone 15 Pro Max continua sendo uma opção de peso. Usuários elogiam o zoom óptico de 5x e a qualidade geral das fotos, considerando-o um ótimo custo-benefício .

Alguns relatam bugs ocasionais e gostariam de uma bateria com maior duração .

Ficha Técnica

EspecificaçãoDetalhe
Tela6.7″ Super Retina XDR OLED
Câmera Principal48MP (wide) + 12MP (ultra-wide) + 12MP (telefoto)
Zoom Óptico5x
Gravação de Vídeo4K até 60fps
Câmera Frontal12MP
ProcessadorApple A17 Pro
PreçoR$ 7.449 a R$ 12.899
EstruturaTitânio, IP68
Recursos EspeciaisHDR, modo noturno, ProRAW, ProRes

Prós e Contras

PrósContras
✓ Zoom óptico de 5x eficiente✗ Preço ainda elevado
✓ Qualidade fotográfica excelente✗ Menos recursos que o 16 Pro Max
✓ Modo noturno aprimorado✗ Bugs ocasionais reportados
✓ Melhor custo-benefício vs 16 Pro Max✗ Bateria poderia durar mais
✓ Estrutura premium em titânio

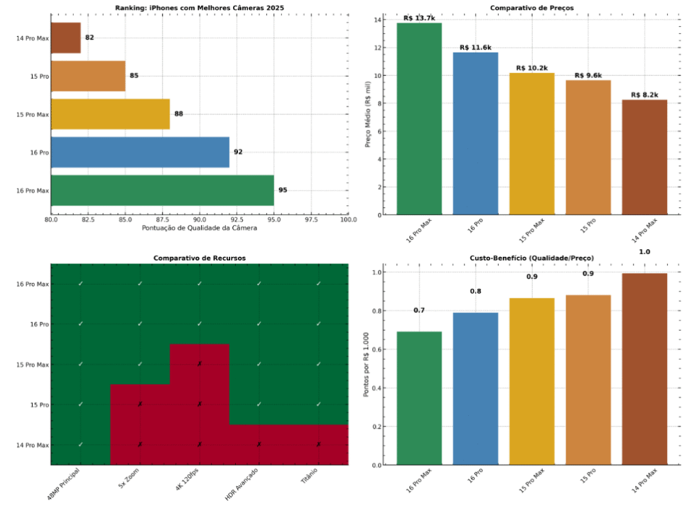
Análise Visual Comparativa

O gráfico abaixo resume o desempenho, preço, recursos e custo-benefício dos principais modelos, ajudando você a visualizar as diferenças de forma clara.

Análise visual do ranking de câmeras, comparativo de preços, recursos e custo-benefício dos modelos de iPhone em 2025.
Análise visual do ranking de câmeras, comparativo de preços, recursos e custo-benefício dos modelos de iPhone em 2025.


O Grande Vencedor do Comparativo

O iPhone 16 Pro Max é o vencedor. Ele alcançou a maior pontuação de qualidade (95/100) por oferecer o conjunto de câmeras mais robusto, gravação de vídeo em 4K a 120fps e um zoom óptico de 5x de alta performance. É o aparelho ideal para quem não abre mão de ter a melhor tecnologia de imagem disponível.

5 Curiosidades sobre as Câmeras

  1. O iPhone 16 Pro Max grava vídeos espaciais, que podem ser vistos em realidade aumentada com o Apple Vision Pro .
  2. O sensor principal de 48 MP usa tecnologia quad-pixel, que combina quatro pixels em um para gerar fotos mais nítidas de 12 MP.
  3. O zoom óptico de 5x é o maior já implementado em um iPhone, usando um design de tetraprisma para alcançar longas distâncias .
  4. O modo noturno agora funciona para retratos, graças ao sensor LiDAR, que melhora o foco em ambientes escuros .
  5. O botão de Ação nos modelos Pro pode ser configurado para abrir a câmera instantaneamente.

5 Fatos Interessantes sobre os Aparelhos

  1. A estrutura do iPhone 16 Pro Max é feita de titânio, o mesmo material usado em naves espaciais, tornando-o mais leve e resistente .
  2. A tela atinge picos de 2000 nits de brilho, facilitando a visualização sob luz solar direta.
  3. O processador A18 Pro possui um motor neural dedicado para acelerar tarefas de inteligência artificial, incluindo o processamento de fotos .
  4. O sistema de áudio conta com quatro microfones de estúdio, garantindo gravações de som limpas e profissionais.
  5. O iPhone 14 Pro Max foi considerado o melhor do mundo em câmera frontal pela DXOMARK em seu ano de lançamento .

Considerações Finais

Escolher o iPhone certo depende do seu perfil e do quanto você está disposto a investir.

O iPhone 16 Pro Max é a melhor opção para quem busca o máximo em tecnologia de câmera.

Se você prefere um aparelho mais compacto, o iPhone 16 Pro oferece quase os mesmos recursos.

Para quem busca um excelente custo-benefício, o iPhone 15 Pro Max e o iPhone 14 Pro Max continuam sendo alternativas fortes, entregando fotos e vídeos de altíssima qualidade com um preço mais amigável.

Perguntas Frequentes

1. O iPhone 16 Pro Max é bom para fotos noturnas?
Sim. O modo noturno foi aprimorado e, com o auxílio do sensor LiDAR, garante fotos claras e detalhadas mesmo em ambientes com pouca luz, inclusive no modo retrato .

2. Vale a pena investir no iPhone 15 Pro Max em 2025?
Sim. Ele continua sendo um aparelho com câmera de altíssima qualidade, zoom óptico de 5x e um preço mais acessível em comparação aos lançamentos, representando um ótimo custo-benefício .

3. Qual iPhone é melhor para selfies?
Os modelos iPhone 15 Pro e 14 Pro Max são frequentemente elogiados pela qualidade da câmera frontal, que possui foco automático e entrega selfies nítidas e com cores fiéis.

OBS – Se você achou alguma foto que não possuem seus devidos créditos, entre em contato para que possamos adicionar os devidos créditos necessários.

Marcela Rafaela

Sou escritora e apaixonada por encontrar ofertas, realizar reviews e cupons de desconto. estou sempre em busca de novos desafios e oportunidades para crescer, mantendo-me atualizada sobre as últimas tendências do mercado digital. Minha paixão pelo que faço é o que me impulsiona a criar conteúdo autêntico e valioso.

Deixe um comentário

O seu endereço de e-mail não será publicado. Campos obrigatórios são marcados com *

Botão Voltar ao topo